4. Biphenyl- und Dibenzofuran-Bildung im Apfel

Feuerbrand und Nachbaukrankheit

Biphenyle und Dibenzofurane sind die Phytoalexine der Malinae, einer Untertribus der Rosaceae (früher Unterfamilie Maloideae). Zu den Malinae gehören viele ökonomisch wichtige Obstbäume wie z.B. Apfel und Birne sowie der arzneilich verwendete Weißdorn. Die Akkumulation von Biphenylen und Dibenzofuranen ist eine aktive Pathogen-Abwehrstrategie, die sich auf die Malinae beschränkt. Der Beitrag der Phytoalexin-Bildung zur Abwehr von Feuerbrand und Schorf sowie zur Überwindung der Nachbaukrankheit (Bodenmüdigkeit) wird untersucht.

Immunlokalisation der Biphenyl-Synthase

Das Schlüsselenzym der Biosynthese ist die Biphenyl-Synthase (BIS), die erstmals in Elicitor-behandelten Zellkulturen von Sorbus aucuparia nachgewiesen wurde. Im Apfelgenom besteht die BIS-Genfamilie aus mindestens neun Mitgliedern, die differenziell reguliert sind. BIS3 wurde immunchemisch an den Kontaktstellen zwischen benachbarten Rindenparenchymzellen der Transitionszone in infizierten Stängeln lokalisiert. Genau diese Zone zwischen dem nekrotischen und gesunden Gewebe akkumuliert die Phytoalexine.

Wird die BIS mit Salicoyl-CoA statt Benzoyl-CoA als Starter-Substrat inkubiert, erfogt nur eine einzige Kondensation mit Malonyl-CoA und das Produkt ist 4-Hydroxycumarin. Dies ist ein neuer PKS-katalysierter Biosyntheseweg. 4-Hydroxycumarin ist die Vorstufe des Dicumarols, das der Vorläufer der Warfarin-Gruppe von Antikoagulanzien ist.

Biosynthese von Biphenylen und Dibenzofuranen

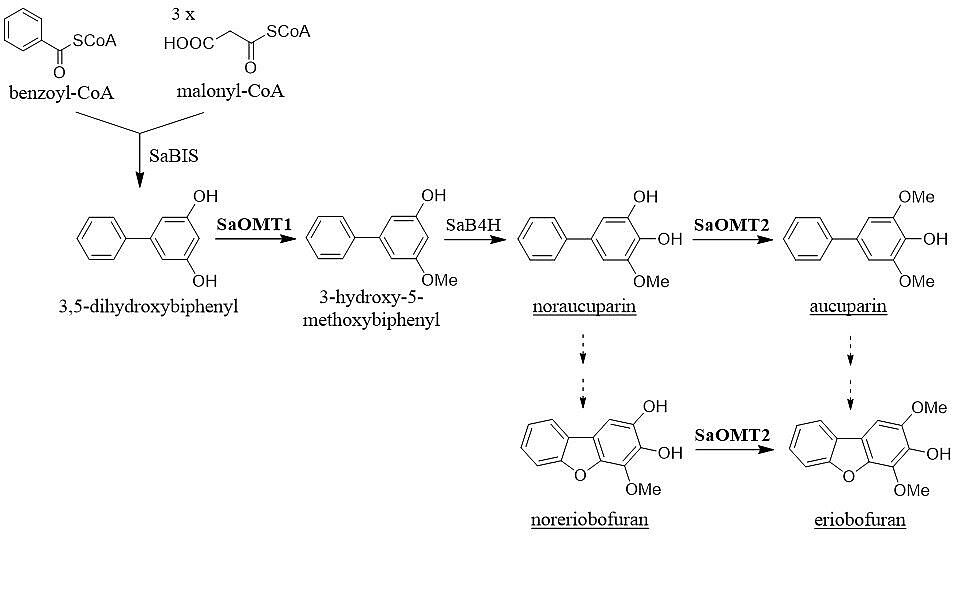
Das physiologische Produkt der BIS ist 3,5-Dihydroxybiphenyl, das aus Benzoyl-CoA und drei Molekülen Malonyl-CoA gebildet wird. Die Umwandlung in Aucuparin umfasst zwei nicht-sequentielle O-Methyltransferase-Reaktionen, die einen 4-Hydroxylierungsschritt flankieren. Die Gene für die löslichen O-Methyltransferasen und das membrangebundene Cytochrom P450-Enzym wurden kloniert und funktionell charakterisiert. Die enzymatische Überführung der Biphenyle in Dibenzofurane ist noch offen.