2. Hyperforin-Biosynthese im Johanniskraut

Auswahl von Johanniskraut-Medikamenten

Extrakte des Johanniskrauts (Hypericum perforatum) lindern wirkungsvoll leichte bis mittelschwere Depressionen. Ein wichtiger Wirkstoff ist das Hyperforin, das erstbeschriebene PPAP. Es hemmt nicht-selektiv die Wiederaufnahme von Neurotransmittern aus dem synaptischen Spalt in das Axoplasma. Die Zielstruktur ist TRPC6. Hyperforin ist ein sowohl strukturell als auch funktionell neuartiges Antidepressivum. Darüber hinaus hat es weitere pharmakologische Aktivitäten.

Es wirkt antibakteriell gegen gram-positive Bakterien sowie entzündungshemmend. Dies erklärt die traditionelle Anwendung von Johanniskraut-Extrakten zur lokalen Behandlung von infizierten Wunden und Hautreizungen. Eine weitere Wirkung ist die Hemmung des Wachstums von Tumorzellen durch Induktion der Apoptose. Diese antitumorale Aktivität geht mit geringer akuter Toxizität in vivo einher.

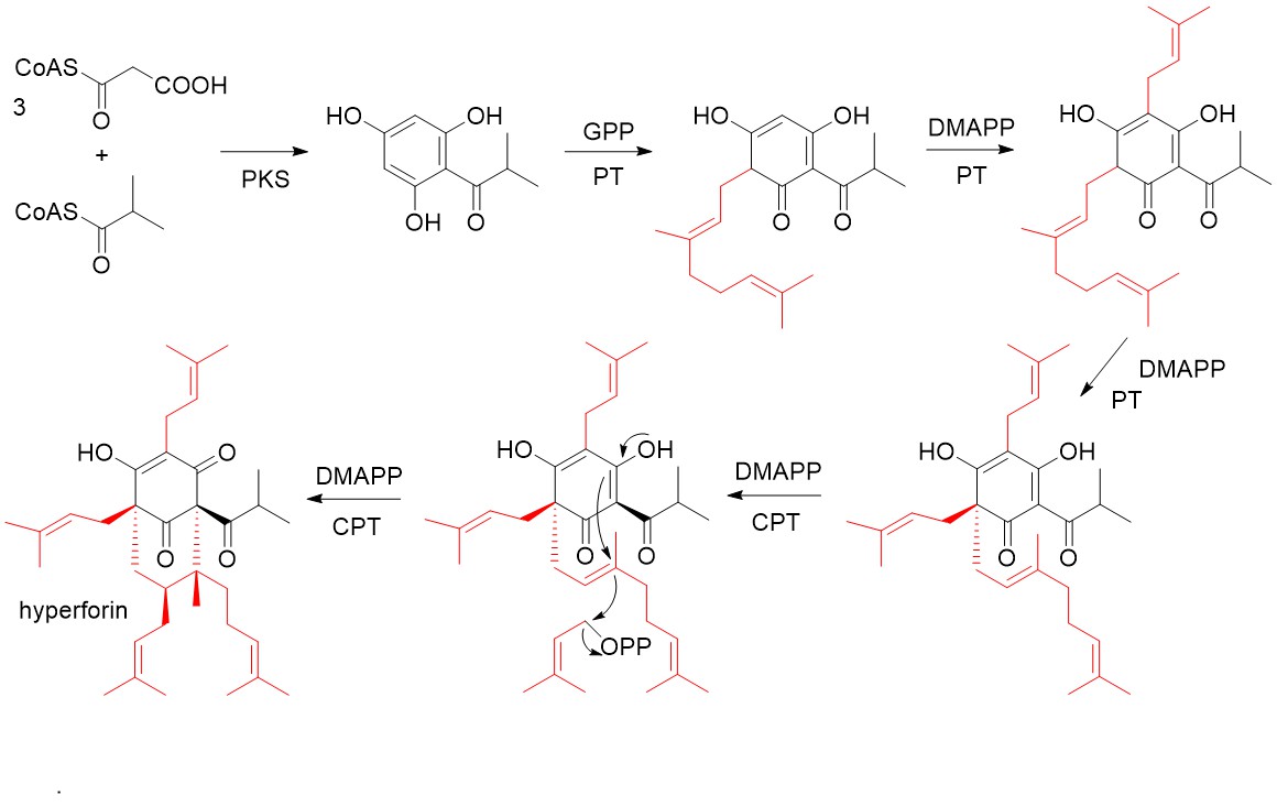
Biosynthese von Hyperforin

Das Grundgerüst des Hyperforins wird von einer Typ III-Polyketid-Synthase gebildet, die Isobutyryl-CoA als Startersubstrat verwendet. Das resultierende Phlorisobutyrophenon wird schrittweise prenyliert, begleitet von einer weiteren Zyklisierung. Die einbezogenen Prenyltransferasen wurden identifiziert. Der finale Schritt der Biosynthese ist eine prenylative Zyklisierung. Das beteiligte Enzym prenyliert die C-3 Geranylgruppe des letzten Intermediats und katalysiert die Zyklisierung zum Hyperforin. Ist der Geranylrest durch einen Prenylrest ersetzt, entsteht Secohyperforin.

Wurzelkulturen im Schüttelkolben und Bioreaktor

Eine Hyperforin-bildende Wurzelkultur wurde etabliert. Im Gegensatz zu ihr enthalten Wurzeln von intakten Pflanzen kein Hyperforin. Mit einer Produktivität von 50 mg/L stellen die in vitro Wurzeln eine potenzielle Produktionsplattform dar. Interessanterweise produzieren sie auch Lupulone, die typischen Inhaltsstoffe des Hopfens, und prenylierte Xanthone. Dies ist eine einzigartige Kombination von Wirkstoffen.