Besides their involvement in benzophenone and biphenyl biosyntheses, benzoic acids are the precursors of a variety of natural products such as taxol, cocaine and reserpine. In addition, salicylic acid and its methyl ester are important signal molecules in systemic acquired resistance, i.e. enhanced resistance to secondary infection. Benzoic acids are biogenetically related to aromatic aldehydes and alcohols, e.g. vanillin and saligenin. Oxidative decarboxylation leads to simple phenols such as hydroquinone.
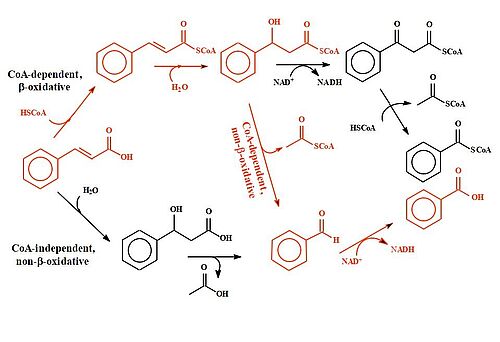
In cell cultures of Centaurium sp. (Gentianaceae), 3-hydroxybenzoic acid is derived from an intermediate of the shikimate pathway, as shown by feeding experiments with radioactively labelled precursors. By contrast, in cell cultures of Hypericum sp. benzoic acid is formed from cinnamic acid by side-chain degradation. The underlying mechanism is CoA-dependent and non-ß-oxidative. Cinnamate:CoA ligase channels the metabolic flux from the general phenylpropanoid pathway to benzenoid metabolism. A CNL cDNA was isolated from a subtracted cDNA library of Hypericum calycinum cell cultures. The enzyme contains a carboxyterminal type 1 peroxisomal targeting signal, which guided the N-terminal reporter fusion to the peroxisomes.
In addition, a transcript for a promiscuous CoA ligase was cloned, which accepts benzoic acid as the only aromatic substrate. In reporter-based studies, a dual localization to cytosol and peroxisomes (type 2 targeting signal) was demonstrated. Recently, the transcript for a cytosolic benzaldehyde dehydrogenase was also detected and characterized. Thus, completion of the CoA-dependent and non-ß-oxidative route lacks only the molecular analysis of cinnamoyl-CoA hydratase/lyase.
Vacancies of TU Braunschweig
 Career Service' Job Exchange 
 Merchandising
Term Dates
 Courses
 Degree Programmes
 Information for Freshman
 TUCard
Technische Universität Braunschweig
 Universitätsplatz 2
 38106 Braunschweig
P. O. Box: 38092 Braunschweig
 GERMANY
Phone: +49 (0) 531 391-0